LONG SCHAEFER JUDGMENTS
DO NOT HIRE
LONG SCHAEFER.COM
My name is Dr. Daniel E Viders MD and this is my story and warning to all clients thinking about hiring Long Schaefer.
If you think this story is not true, please contact me here.
DO NOT HIRE LONG SCHAEFER.COM
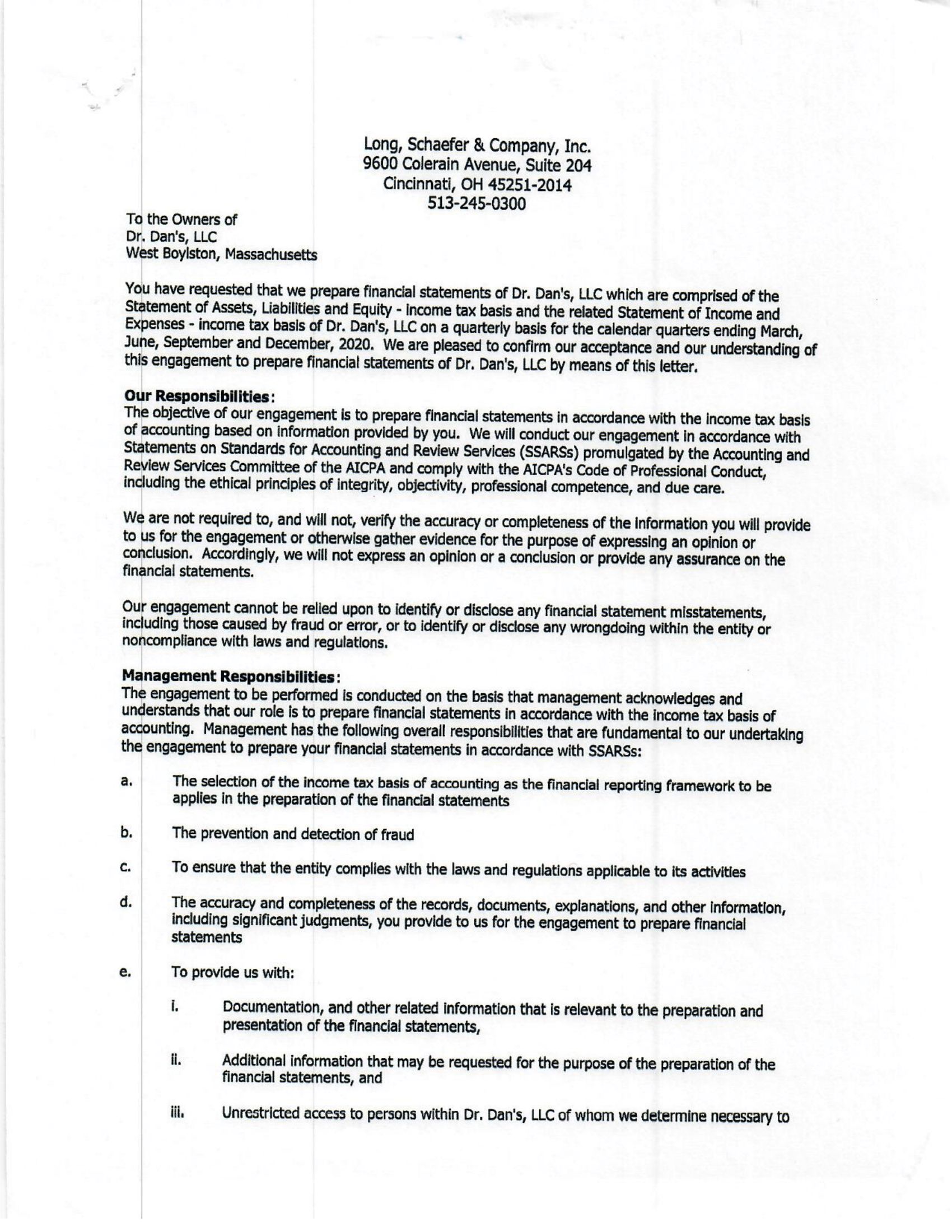
I am a Board certified Dermatologist in Massachusetts and my wife and I run a small pharmaceutical Company called Dr. Dan’s LLC makers of the world’s first truly medicated lip balm, Cortibalm ™ (https://drdanslipbalm.com). We hired Long Schaefer to be our accounts. SEE Exhibit 1 and 1A. Click/tap the documents below to view more.
DO NOT HIRE LONG SCHAEFER.COM
Due to the National Nature of our Business, we needed to file a tax return in California, and their employee, Tom Goodwin communicated that he would. SEE exhibit 2. He never filed said return resulting in a whopping $43,761.63 fine. SEE Exhibit 3.
DO NOT HIRE LONG SCHAEFER.COM
After a brief trip to my cardiologist, we tried to resolve the situation with the current owner of Long Schaefer, Mr. Brandon M. Robertson. SEE Exhibit 4.
DO NOT HIRE LONG SCHAEFER.COM
Long story short, Mr. Robertson was not able to resolve the issue and we were forced to hire expensive Attorneys to fix the return, and furthermore file a separate complaint to the Accounting Board. They admitted they did not keep our Quickbooks data, even though we paid them to keep our Data. SEE Exhibits 4A, 5 and 5B.
DO NOT HIRE LONG SCHAEFER.COM
After failing to be reimbursed we filed an action in small claims court and we were awarded judgment. SEE Exhibit 6. Because the defendant never showed up and the facts of the case were merited by the magistrate we were awarded judgment. Mr. Robertson then appealed the verdict, and new trial was scheduled and again they failed to show up in court. To date, October 2025 they still have not paid this judgment.
DO NOT HIRE LONG SCHAEFER.COM
Bottom line, not only did they make a mistake, which we were willing to forgive, but they did not fix it, lost our data and were too CHICKEN to show up to court!
Trust me, do not hire this firm.
Dr. Daniel E Viders MD








